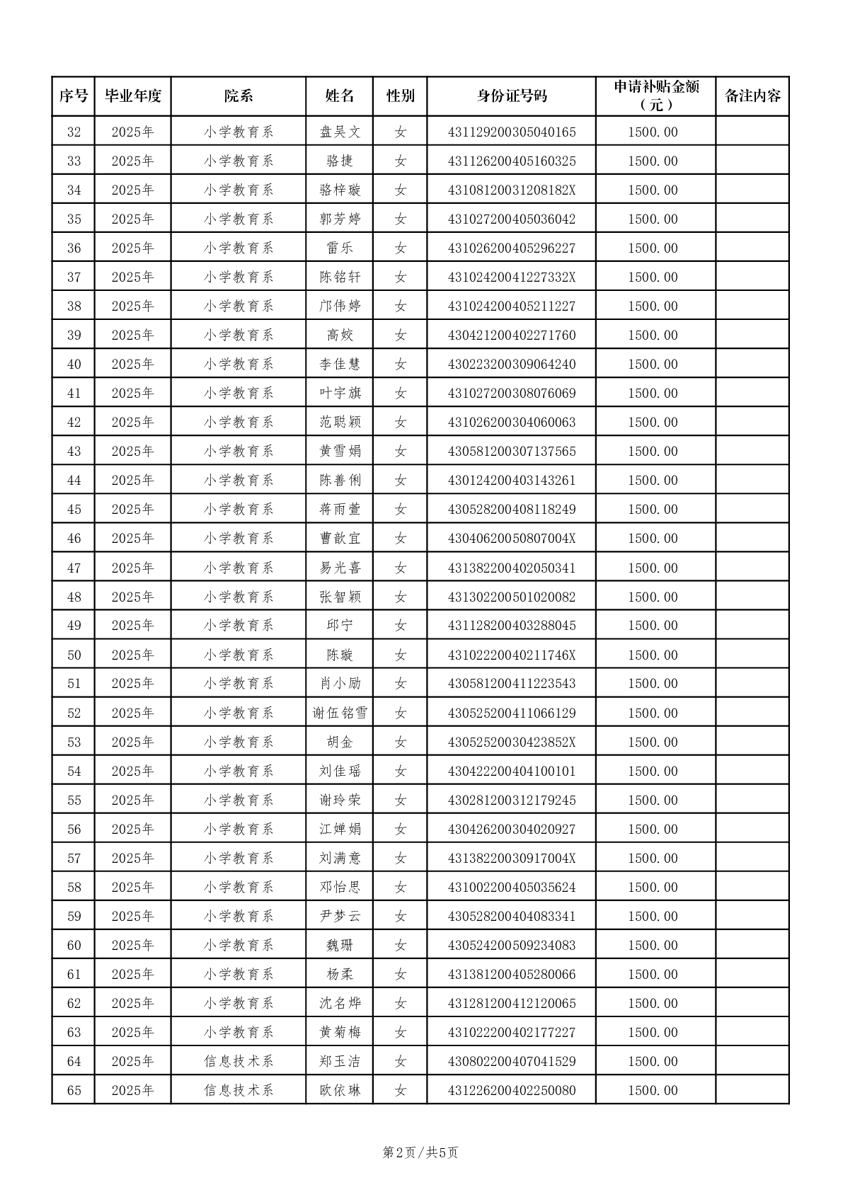
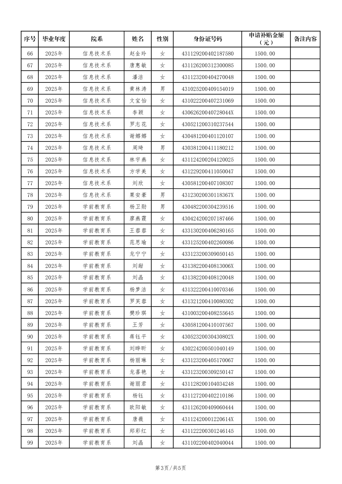
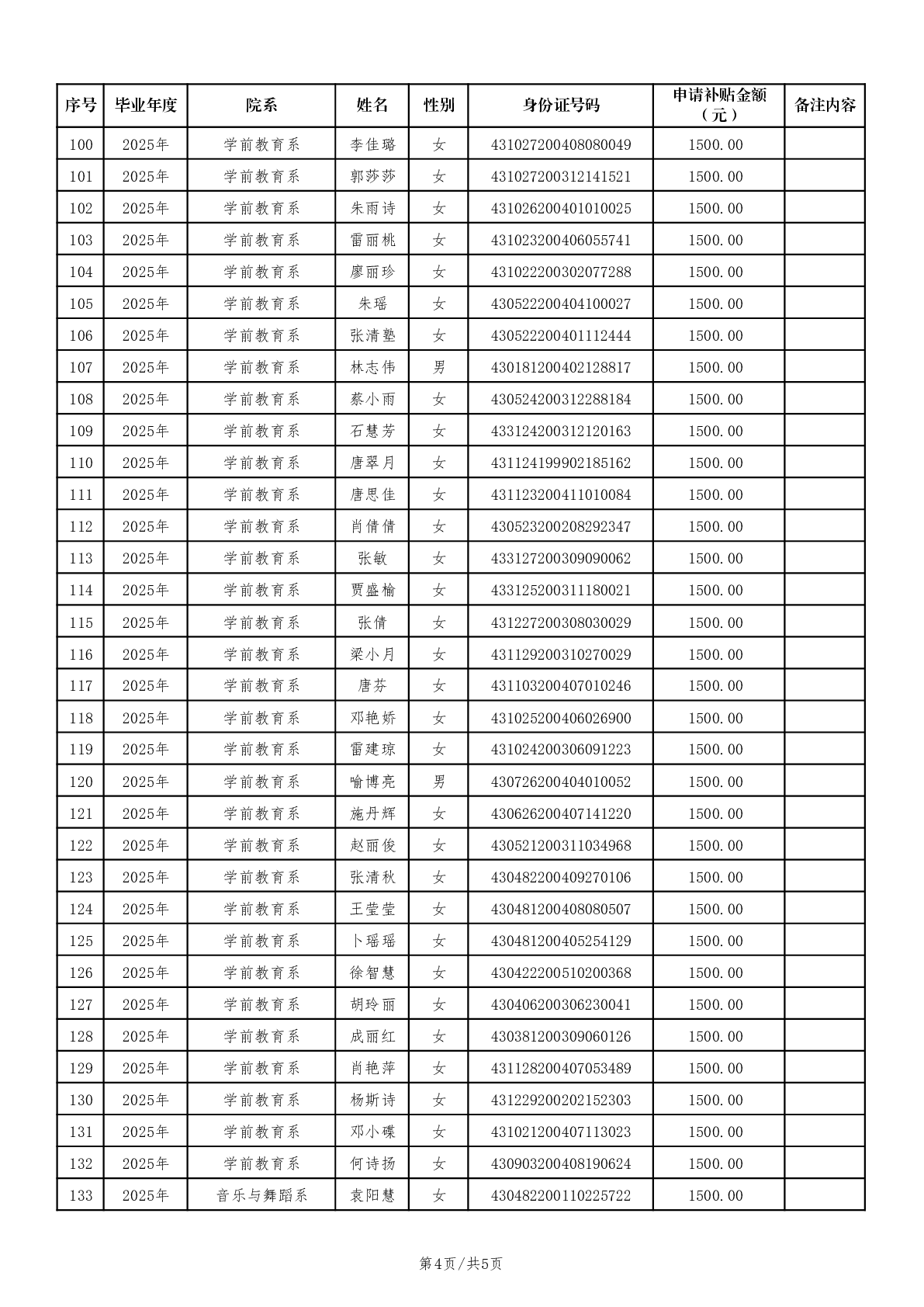
2025屆畢業(yè)生一次性求職補(bǔ)貼公示
日期:2024-09-25 作者:喻博亮 來(lái)源: 瀏覽量:87





衡陽(yáng)幼兒師范高等??茖W(xué)校 版權(quán)所有 Copyright 2017-2023 www.8888114.com
湘ICP備19026311號(hào)??
湘公網(wǎng)安備 43040602000090號(hào)





衡陽(yáng)幼兒師范高等??茖W(xué)校 版權(quán)所有 Copyright 2017-2023 www.8888114.com
湘ICP備19026311號(hào)??
湘公網(wǎng)安備 43040602000090號(hào)